বাংলাদেশ পল্লী উন্নয়ন একাডেমী(বার্ড) কুমিল্লা (Bangladesh Academy of Rular Development) এর সহকারী পরিচালক পদের লিখিত পরীক্ষার অংশগ্রহণের জন্য প্রবেশপত্র ইতিমধ্যে বর্তমান ও স্থায়ী ঠিকানায় প্রেরণ করা হয়েছে। আবেদনকারীদের মধ্যে যারা যোগ্যতায় উত্তীর্ণ হয়েছেন, তাদের প্রত্যেককে নিজ নিজ পরীক্ষার তারিখ ও কেন্দ্র জানতে সরকারী দপ্তরের ওয়েবসাইটটি দেখে নিতে পারেন।
বাংলাদেশ পল্লী উন্নয়ন একাডেমী(বার্ড) কুমিল্লা (Bangladesh Academy of Rular Development)এ পরীক্ষার প্রবেশপত্র পেতে কোন অসুবিধা হলে নিয়োগ বিভাগে দুই কপি পাসর্পোট সাইজ ছবি সহ দেখা করতে হবে।
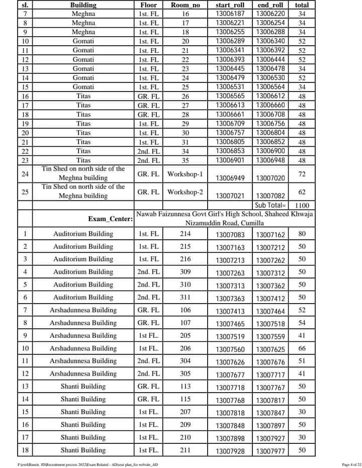
প্রতিষ্ঠানের নামঃ বাংলাদেশ পল্লী উন্নয়ন একাডেমী(বার্ড) কুমিল্লা (Bangladesh Academy of Rular Development) এ সহকারী পরিচালক পদের পরীক্ষার স্থানঃ
বাংলাদেশ পল্লী উন্নয়ন একাডেমী(বার্ড) কুমিল্লা
পদের নাম সহকারী পরিচালক
পরীক্ষার তারিখ ২০ মে ২০২২
পরীক্ষার সময় বিকাল তিনটা থেকে চারটা
MCQ পরীক্ষার আসন বিন্যাস
অফিসিয়াল ওয়েবসাইটঃ http://www.bard.gov.bd/site/view/notices
প্রবেশপত্র ডাউনলোড করতেওপরীক্ষাসংক্রান্তযাবতীয়ঃhttp://www.bard.gov.bd/site/view/notices
বাংলাদেশ পল্লী উন্নয়ন একাডেমী(বার্ড) কুমিল্লা (Bangladesh Academy of Rular Development) এ নিয়োগের জন্য উপর্যুক্ত প্রক্রিয়ায় সঠিকভাবে প্রবেশপত্র ডাউনলোড করে পরীক্ষায় অংশগ্রহণ করুন। পাশাপাশি বিজ্ঞপ্তি টি শেয়ার করে আপনার বন্ধুদের জানিয়ে দিন।






