গণপ্রজাতন্ত্রী বাংলাদেশ সরকারের ডাক অধিদপ্তরের অধীন পোষ্টমাষ্টার জেনারেল মেট্রোপলিটন সার্কেল ঢাকা তে ডাক অধিদপ্তর (Directorate of Posts) - এ প্যাকার, মেইল ক্যারিয়ার, পোষ্টম্যান, অফিস সহায়ক, পরিচ্ছন্নতা কর্মী ও সুইপার পদে নিয়োগের বিজ্ঞপ্তিতে আবেদনকৃত প্রার্থীগণের লিখিত পরীক্ষার ফলাফল প্রকাশ ।এ নিয়োগের জন্য মৌখিক পরীক্ষার ফলাফল প্রকাশ করেছে কর্তৃপক্ষ, বিভিন্ন পদের নিয়োগ পরীক্ষার তারিখ ও আসন বিন্যাসসহ বিস্তারিত দেখুন।
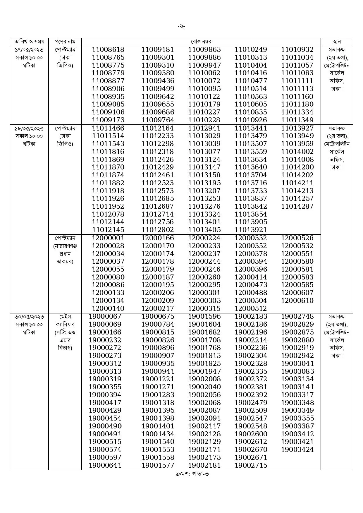
ডাক অধিদপ্তর (Directorate of Posts) এর পোষ্ট মাষ্টার জেনারেল, মেট্রোপলিটন সার্কেল, ঢাকা এ প্যাকার, মেইল ক্যারিয়ার, পোষ্টম্যান, অফিস সহায়ক, পরিচ্ছন্নতা কর্মী ও সুইপার পদে নিয়োগের লিখিত পরীক্ষার ফলাফল সংবলিত বিজ্ঞপ্তি অনুযায়ী মৌখিক পরীক্ষার তারিখ ও আসন বিন্যাসের বিস্তারিত চেক করুন। লিখিত পরীক্ষার্থীদের মধ্যে যারা যোগ্যতায় উত্তীর্ণ হয়েছেন, তাদেরকে অভিনন্দন।
লিখিত পরীক্ষা অনুষ্ঠিত হয়েছে গত ০৬ ই মে, ২০২৩
মৌখিক পরীক্ষা অনুষ্ঠিত হবে আগামী ১৬ই মে, ২০২৩ তারিখ হতে ৩১ শে মে, ২০২৩ ।
প্রতিষ্ঠানের নামঃ ডাক অধিদপ্তর (Directorate of Posts)
অফিসিয়াল ওয়েবসাইটঃ www.bdpost.gov.bd.
ডাক অধিদপ্তর (Directorate of Posts) এ পোষ্টমাষ্টার জেনারেল মেট্রোপলিটন সার্কেল, ঢাকা প্যাকার, মেইল ক্যারিয়ার, পোষ্টম্যান, অফিস সহায়ক, পরিচ্ছন্নতা কর্মী ও সুইপার পদে নিয়োগের মৌখিক পরীক্ষার তারিখ সংবলিত উক্ত বিজ্ঞপ্তিটি দেখুনঃ
লিখিত পরীক্ষার ফলাফল ও বিস্তারিত এখানে




